Oct 27 – 31, 2025
InterContinental Chengdu Global Center
Asia/Shanghai timezone
The submission portal for presentation materials and papers is now open. Please submit your full paper before October 29.

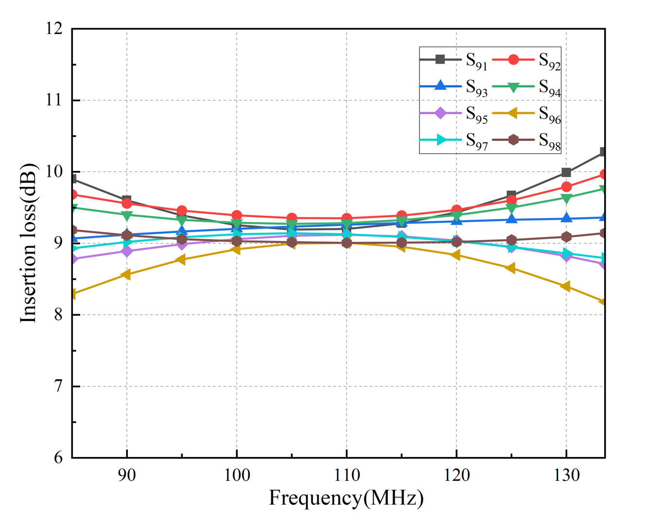
An 85MHz-133.5MHz broadband radio frequency power source for synchrocyclotrons

MOP15
Oct 27, 2025, 4:30 PM
2h
InterContinental Chengdu Global Center

InterContinental Chengdu Global Center

Chengdu, China
Poster Presentation Cyclotron and Technology Monday Poster Session

Speaker

Yusong Chen (SPlC Nuelectronic Company Limited)

Description

In the operation system of a synchronous cyclotron, a broadband high-power RF power source plays an extremely important role. The RF power source is responsible for generating and providing high-frequency alternating electric fields, continuously injecting energy for particle acceleration. Its performance directly determines the acceleration efficiency, beam quality, and operational stability of the accelerator. This article introduces a broadband RF power amplifier with a frequency range of 85-133.5MHz. It has a 15kW RF power output capability and good in band flatness. It has complete functions for incident and reverse power detection, as well as standing wave ratio protection, over reflection protection, and over excitation protection. The human-machine interface is friendly, making it a mature power amplifier

Authors

zhiyu wang (SPIC Nuelectronic Company Limited) Yusong Chen (SPlC Nuelectronic Company Limited) Gangjia Zhai (SPIC Nuelectronic Company Limited) Mr Yalong Wu (SPIC Nuelectronic Company Limited)

Presentation materials

There are no materials yet.

Peer reviewing

Paper